Hall effect
Hall effect can be used to determine the carrier type, concentration and mobility of a material.
Hall coefficient is a material property
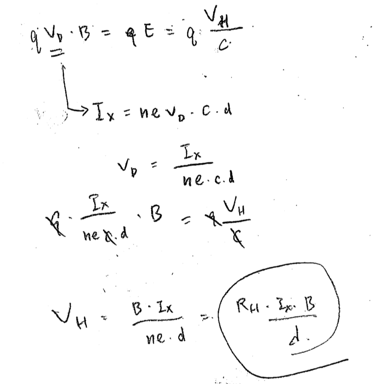
The Hall voltage is
Derivation


References
- William D. Callister, David G. Rethwisch, 2018. Materials Science and Engineering: An Introduction. Wiley Global Education.